Еврокод 7. Основания и фундаменты
В LIRA-FEM* реализованы требования строительных нормативных документов многих стран, в том числе, комплекта гармонизированных европейских стандартов Eurocodes (Еврокоды), а также национальных приложений к Eurocodes для Республики Казахстан, Республики Беларусь и Украины.
Еврокод 7. Основания и фундаменты
В LIRA-FEM (ЛИРА-САПР) реализован расчет осадки грунтового основания с учетом консолидации по Еврокодам:
- Еврокод EN 1997-1:2004/2011 Еврокод 7. Проектирование геотехническое. Часть 1. Общие правила;
- СП РК EN 1997-1:2004/2011+НТП Проектирование геотехническое. Часть 1. Общие правила.
Общие положения
В Еврокоде 7 отсутствуют четкие указания по расчету осадок фундаментов. Для определения значений осадок фундамента представлены общие требования и рекомендации. Выбор способа расчета осадки и допустимых величин оставляется на усмотрение проектировщика или национального нормотворческого органа.
В LIRA-FEM реализовано вычисление осадки S, состоящей из трех компонент согласно EN 1997-1:2004:
|
|
(1) |
где Ss – полные деформации основания; S0 – мгновенная осадка основания; S1 – осадка, вызванная консолидацией; S2 – осадка, вызванная ползучестью (вторичная консолидация).
Расчет на полную осадку можно выполнить локально в системе ГРУНТ или же при полном расчете конструкции при вычислении коэффициентов постели С1 и С2.
1. Общая мгновенная осадка фундамента
Производится методом послойного суммирования с использованием схемы линейно-деформируемого полупространства (задача Буссинеска).
Достижение границы сжимаемой толщи HС регулируется выполнением условия Гzp = k*Гzg с помощью задаваемого коэффициента глубины сжимаемой толщи k.
|
|
(2) |
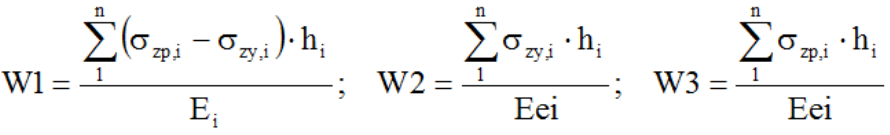
где
Ei – модуль деформации i-го слоя грунта по ветви первичного нагружения;
Eei – модуль деформации i-го слоя грунта по ветви вторичного нагружения; по умолчанию Eei = Ei;
Гzp,i – напряжение в i-том слое грунта от внешней нагрузки;
Гzy,i – напряжение в i-том слое от собственного веса грунта, вынутого из котлована;
n – количество подслоев грунта от подошвы фундамента до глубины сжимаемой толщи HС.
Если собственный вес грунта на уровне подошвы больше среднего давления под подошвой, то осадка S = 0.8*W3, иначе осадка S = 0.8*(W1 + W2).
Осадка для любого времени t за счет консолидации определяется по формуле:
|
|
(3) |
где h – толщина элементарного слоя; mЅ – коэффициент относительной сжимаемости; Б – давление, действующее на вершине слоя; N – величина, которая определяется по формуле:
|
|
(4) |
где t – время определения осадок; Cv – коэффициент консолидации грунта, который определяется по формуле:
|
|
(5) |
где kf – коэффициент фильтрации; іw – удельный вес воды.
Для определения осадки консолидации определенного слоя ИГЭ необходимо задать соответствующие характеристики в диалоговом окне «Характеристики грунтов», при переходе на вкладку «Консолидация». В таблице характеристик грунтов нужно задать следующие параметры:
- Номер ИГЭ. Этот номер должен соответствовать номеру ИГЭ в основной таблице Характеристик грунтов.
- Коэффициент относительной сжимаемости mv.
- Коэффициент фильтрации kf.
- Время определения полных деформаций оснований (в годах).
3. Осадка, вызванная ползучестью (вторичная консолидация) по нормам EN 1997-1:2004
Расчет осадки вторичной консолидации в LIRA-FEM осуществляется по нормативу СП РК 5.01-102-2013. Методика расчета в данном нормативе не противоречит методике, описанной в Еврокоде 7.
Осадка ползучести определяется по формуле:
|
|
(6) |
где І – коэффициент, который равен 0.8; hi – толщина i-го слоя; bki – параметр ползучести грунта, который зависит от дополнительного давления (давления от внешней нагрузки) в этом слое и определяется в результате проведения компрессионных испытаний; t – время определения осадок; te – время окончания фильтрационной (первичной) консолидации.
Явление ползучести грунтов является следствием процессов, которые происходят в грунтах при первичной консолидации (уплотнения грунта в следствии выжимания воды из пор грунта (фильтрации)). Поэтому ползучесть также называют вторичной консолидацией. Ползучесть грунтов развивается после того, как фильтрационная (первичная) консолидация считается установившейся (или оконченной).
Для определения времени окончания фильтрационной (первичной) консолидации te используется следующий алгоритм.
В уравнении (3) выражение в квадратных скобках называют степенью консолидации U:
|
|
(7) |
Деформации первичной консолидации считают установившимися, когда степень консолидации U достигает 95% и более. Если в уравнение (6) подставить величину U=0.95, тогда можно найти значение N. В таком случае величина N будет равна 2.8. Используя формулу (3), можно определить время установившейся консолидации:
|
|
(8) |
Если в уравнение (7) подставить N = 2.8, тогда время установившейся консолидации будет равно:
|
|
(9) |
Для определения осадки ползучести торфяной залежи необходимо задать соответствующие характеристики в диалоговом окне «Характеристики грунтов», при переходе на вкладку «Ползучесть». В таблице характеристик грунтов нужно задать следующие параметры:
- Номер ИГЭ. Этот номер должен соответствовать номеру ИГЭ в основной таблице Характеристик грунтов.
- Результаты компрессионных испытаний грунта (зависимость параметра ползучести от давления):
- Давление, Р.
- Параметр ползучести bk.
4. Вычисления коэффициентов постели по нормам EN 1997-1:2004
Для вычисления коэффициентов постели используются усредненные (в пределах зафиксированной глубины сжимаемой толщи HС) значения модуля деформации EГР и коэффициента бокового расширения mГР. Эти значения вычисляются по формулам:
|
|
(10) |
Метод 1. Коэффициент постели С1 вычисляется на основании усредненных значений Eгр и mгр по формуле:
|
|
(11) |
Метод 2. Коэффициент постели С1 вычисляется по формуле Винклера:
|
|
(12) |
где q – среднее давление под подошвой фундамента.
Метод 3. Для определения коэффициента постели С1 используется формула метода 1. Отличие состоит в том, что для определения усредненного модуля деформации ЕГР3 вводится поправочный коэффициент u к величине модуля деформации i–того подслоя. Этот коэффициент изменяется от u1=1 на уровне подошвы фундамента до un=12 на уровне уже вычисленной границы сжимаемой толщи. Принято, что коэффициент u изменяется по закону квадратной параболы:
|
|
(13) |
Кроме того, принимается, что дополнительное вертикальное напряжение по глубине распределено равномерно. Тогда
|
|
(14) |
Метод 3 предложен с целью устранить недостатки первых двух. Для метода 1 – это невозможность учесть нарастание модуля деформации грунта по глубине, что приводит к завышенным значениям осадок, а следовательно и заниженным значения коэффициента постели С1. Недостаток метода 2 заключается в том, что в местах резкого изменения величин приложенных нагрузок коэффициент постели С1 также испытывает резкий скачок, что противоречит здравому смыслу. Этот недостаток сохраняется даже при использовании нарастающего по глубине модуля деформации грунта.
Для методов 1 и 3 коэффициент постели С2 вычисляется по формуле:
|
|
(15) |
Для метода 2 коэффициент постели С2 не вычисляется.
Оцените возможности
Если у вас все еще есть сомнения, загрузите демонстрационную версию и попробуйте или свяжитесь с нашей службой поддержки для получения более подробной информации.




